The Aix-en-Provence PATA Days are fast approaching and the meeting programme looks super-exciting! Unfortunately, I’ll not attend the congress, but my soul will be there in poster form – presenting author is 1st year PhD student Marco Pizza and the topic is the likelihood of primary surface faulting.
Some earthquakes produce surface faulting, others do not. Several factors affect the outcome of this dichotomous variable (faulting YES/NO), including magnitude, depth, earthquake kinematic and local lithology. The probability of having surface rupture for a given magnitude is a key ingredient in Fault Displacement Hazard Assessment (FDHA). This probability is derived from empirical datasets and the state of the art is summarized in Figure 1, taken from the recently published IAEA Tecdoc on probabilistic FDHA.

One of the most widely used equation has been developed by Wells & Coppersmith (1993; equation is described in Youngs et al., 2003), and is based on a dataset of 345 earthquakes occurred in 1847-1992. We thought it was a good idea to do the same on a more recent earthquake dataset, so here we are.
We took the ISC catalogue and applied some filters (Mw > 5.5, depth < 20 km, onshore epicenter, time interval 1992-2016); we obtained 915 earthquakes. Then, we (metaphorically) start digging. We find unequivocal information on 88 earthquakes that ruptured the surface and 276 earthquakes that did not (Figure 2).

After some Excel/Matlab processing that I won’t describe here (hey, we have to write a paper on this stuff), we obtain Figure 3. Here we compare the curve by Wells & Coppersmith (1993) with our dataset. It is clear that the likelihood of surface faulting in our dataset is lower than the previous equation.

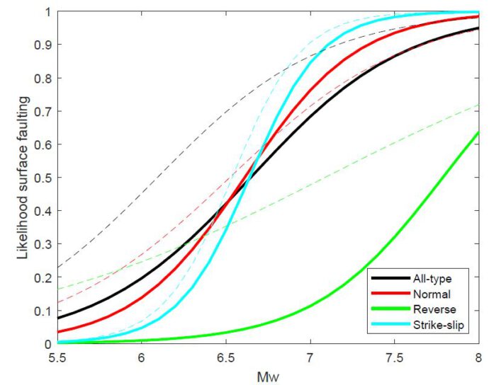
If we split the dataset according to earthquake kinematic, we obtain Figure 4. It shows that a reverse-faulting earthquake has a much lower probability to rupture the surface than a strike-slip and normal earthquake, in agreement with previous findings. Our curves (bold lines) lie below curves proposed by previous authors (dotted lines) for all-type and reverse earthquakes.

Why do we obtain a different likelihood of faulting? Beside the subjective choices for thresholds (e.g., depth), I would spend my 2 cents on epistemic uncertainty. It is possible that, in the past, earthquakes producing surface faulting attracted more attention; technological improvements such as Insar were a game-changer in our ability to analyze more systematically the earthquake population, in particular those events which do not reach the surface.
Post-Scriptum: People attending the PATA Days: reach out to Marco for comments and questions, we’d love to hear from you! For all the others: the poster will be available on Marco’s RGate page and I hope a paper with all the details will be out soon 😊
References
IAEA, 2021. An Introduction to probabilistic Fault Displacement Hazard analysis in site evaluation for existing nuclear installations, IAEA, Vienna
Moss, R. E. S. and Ross, Z. E., 2011. Probabilistic fault displacement hazard analysis for reverse faults, Bull. Seismol. Soc. Am., 101, 1542–1553, https://doi.org/10.1785/0120100248.
Pezzopane, S. K. and Dawson, T. E., 1996. Fault displacement hazard: a summary of issues and information, in: Seismotectonic Framework and Characterization of Faulting at Yucca Mountain, Nevada, chap. 9, US Geological Survey Administrative Report prepared for the US Department of Energy, US Geological Survey, Palo Alto, California, p. 160.
Takao, M., Annaka, T., and Kurita, T., 2013. Application of probabilistic fault displacement hazard analysis in Japan, J. Jpn. Assoc. Earthq. Eng., 13, 17–36.
Wells, D. L., & K. J. Coppersmith, 1993. Likelihood of surface rupture as a function of magnitude, Seismol. Res. Lett. 64, no. 1, 54.
Youngs, R. R., W. J. Arabasz, R. E. Anderson, A. R. Ramelli, J. P. Ake, D. B. Slemmons, J. P. McCalpin, D. I. Doser, C. J. Fridrich, F. H. Swan, et al., 2003. A methodology for probabilistic fault displacement hazard analysis (PFDHA), Earthq. Spectra 19, no. 1, 191– 219, doi: 10.1193/1.1542891.
No Comments
No comments yet.